Matériau emblématique des débuts de l’impression 3D FDM, l’ABS a longtemps été la référence pour la fabrication de pièces techniques. Si le PLA et le PETG ont gagné du terrain grâce à leur facilité d’impression, ils ne couvrent pas tous les besoins, en particulier lorsqu’une pièce doit résister à des chocs ou être utilisée à basse température.
Toujours largement employé dans les secteurs industriels, l’ABS conserve aujourd’hui tout son intérêt, à condition de respecter certaines contraintes d’impression et de sécurité.
Nous verrons dans cet article les caractéristiques techniques de l’ABS, ses domaines d’application, les bonnes pratiques d’impression et les éléments à prendre en compte pour une utilisation efficace.
Qu’est-ce que l’ABS
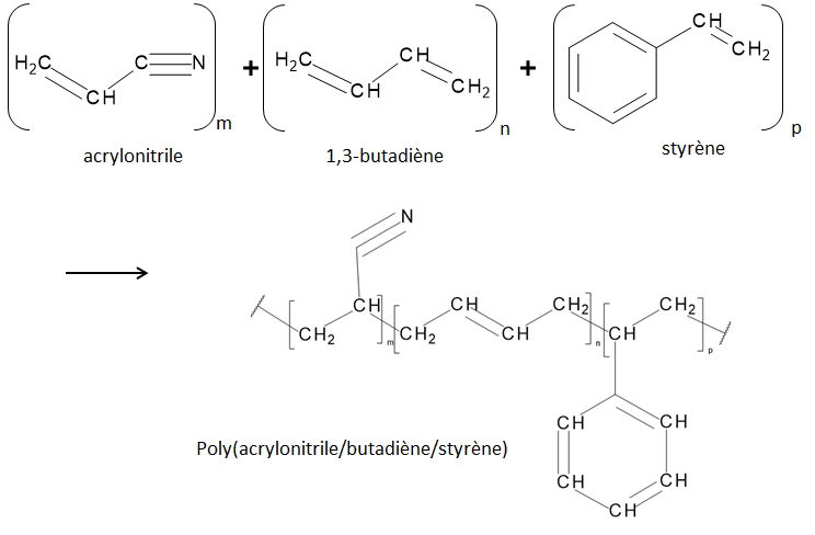
L’ABS, pour Acrylonitrile Butadiène Styrène, est un polymère thermoplastique largement utilisé dans l’impression 3D et dans l’industrie.
Il s’agit d’un terpolymère, formé par la combinaison de trois monomères : l’acrylonitrile, le butadiène et le styrène. Cette structure particulière confère à l’ABS un bon équilibre entre rigidité, résistance thermique et excellente résistance aux chocs.

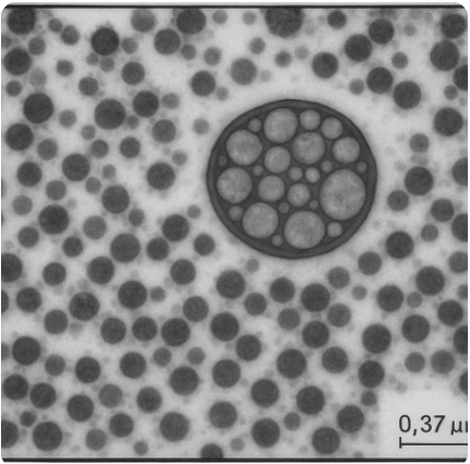
À l’échelle microscopique, l’ABS est constitué d’une matrice SAN (styrène-acrylonitrile) dans laquelle sont dispersés des nodules de polybutadiène, qui améliorent la capacité du matériau à absorber l’énergie et limiter la propagation des fissures.
Grâce à ces propriétés, le filament ABS reste aujourd’hui un matériau de choix pour la fabrication de pièces fonctionnelles en impression 3D.

Image générée à des fins pédagogiques.
ℹ️ Cette illustration est inspirée de véritables observations par microscopie électronique (TEM) de l’ABS.
Afin de respecter les droits d’auteur et éviter d’utiliser directement des images protégées, nous avons choisi de créer notre propre image pédagogique.
Pour consulter une véritable micrographie TEM montrant la structure de l’ABS, vous pouvez consulter l’article original de Bernal et al. (1995) sur ResearchGate.
Dans quelles applications retrouve-t-on l’ABS ?
L’ABS est un matériau très répandu dans l’industrie, notamment dans les secteurs où la résistance aux chocs, la légèreté et la stabilité dimensionnelle sont prioritaires. On le retrouve dans de nombreux produits du quotidien et dans des applications techniques spécifiques.
En fabrication industrielle :
- Composants automobiles (intérieurs de véhicules, caches, éléments de fixation, grilles d’aération, habillages de tableau de bord) : sa bonne résistance aux chocs à basse température et sa facilité d’usinage en font un standard de longue date dans ce domaine.
- Boîtiers électroniques et électroménagers (coques de télécommandes, blocs d’alimentation, cafetières, aspirateurs, sèche-cheveux, imprimantes) : l’ABS est utilisé pour son excellente stabilité dimensionnelle, sa facilité de moulage et sa bonne tenue thermique.
- Jouets, outillages, objets courants (briques de construction, outils pour enfants, valisettes, pièces clipsables, casiers de rangement) : l’ABS permet la production de pièces durables, rigides et légères. Il est notamment le matériau utilisé pour les célèbres briques LEGO®.
En impression 3D, le filament ABS est adapté pour :
- Des pièces fonctionnelles et techniques, soumises à des chocs ou à une utilisation en environnement légèrement contraignant.
- Des prototypes de pièces injectées, l’ABS étant lui-même très utilisé en injection, ce qui permet une bonne continuité entre prototype et production.
- Des objets nécessitant un post-traitement (ponçage, perçage, peinture, lissage à l’acétone), notamment dans les secteurs du prototypage design ou de la modélisation.
- Des pièces devant être collées ou assemblées mécaniquement, du fait de sa bonne usinabilité.
Les propriétés de l’ABS pour l’impression 3D

Performances et propriétés clés :
L’ABS est un matériau apprécié pour sa polyvalence et son comportement mécanique. Voici ses principales caractéristiques :
- Bonne rigidité
- Excellente stabilité dimensionnelle
- Résistance mécanique correcte, en particulier aux chocs à basse température
- Résistance à la rayure
- Léger (masse volumique ≈1,05 g/cm³)
- Résistance à la température en usage continu jusqu’à 80 °C
- Facile à usiner (perçage, taraudage, etc.)
- Lissage et collage faciles à l’acétone
- Prix abordable
Points à prendre en compte :
- Adhésion entre couches plus difficile qu’avec d’autres matériaux
- Déformation importante à l’impression (warping)
- Sensible aux UV : tendance à jaunir en extérieur
- Matériau amorphe mais opaque, en raison des deux phases constitutives (matrice SAN et nodules de butadiène)
- Émissions de styrène à l’impression, substance classée cancérogène possible (IARC groupe 2B)
Comment imprimer l’ABS ?

Pour optimiser l’impression :
- Utiliser une imprimante à enceinte fermée, afin de stabiliser la température ambiante autour de la pièce et limiter le warping.
- Protéger le plateau avec une solution d’adhésion adaptée (spray, feuille PEI, BuildTak®, etc.) pour éviter le décollement.
- Réduire la ventilation : le refroidissement trop rapide favorise les retraits et les fissures.
- En cas de pièces complexes ou à grande surface de contact, utiliser des brims ou des rafts.
- Réduire la vitesse d’impression permet d’améliorer l’adhésion inter-couches.
Pièces massives : attention au refroidissement différentiel
Lors de l’impression de pièces volumineuses, les couches situées au bas de la pièce bénéficient de la chaleur du plateau, tandis que les couches supérieures se refroidissent plus rapidement. Cela entraîne des tensions internes et favorise la fissuration.
Une enceinte chauffée ou thermorégulée permet de limiter ces écarts de température et d’améliorer la cohésion des couches sur toute la hauteur.
Quels sont les risques liés à l’impression 3D avec de l’ABS ?
À température ambiante, l’ABS est considéré comme stable, sans toxicité particulière pour l’utilisateur. Cependant, à la chauffe, notamment lors de l’impression, celui-ci peut libérer du styrène, qui est une substance classée comme cancérogène possible par l’IARC, et des particules ultrafines.
Pour imprimer de l’ABS en toute sécurité :
- Utiliser une enceinte fermée
- Prévoir une filtration efficace (type HEPA + charbon actif)
- Aérer systématiquement après impression
- Éviter les lieux de vie
- Vérifier l’état et l’entretien du système de filtration
- Limiter l’exposition dans les espaces partagés (salle de classe, bureaux, fablabs…)
PLA, PETG, ABS, ASA : quel filament choisir ?
Selon l’application, certains polymères conviendront mieux que d’autres. Petit résumé des principales différences entre PLA, PETG, ABS et ASA :

Conclusion
L’ABS reste une solution technique intéressante pour des pièces résistantes aux chocs, notamment à froid, facile à post-traiter ou à usiner. Cependant, il nécessite des conditions d’impression plus rigoureuses pour garantir la sécurité de l’utilisateur et la qualité de l’impression.
Bibliographie
- INRS – Institut National de Recherche et de Sécurité
Fiche toxicologique n°105 : Acrylonitrile
https://www.inrs.fr/publications/bdd/fichetox/fiche.html?refINRS=FICHETOX_105 - Bernal C., Frontini P., & al.
Microstructure, deformation, and fracture behavior of commercial ABS resins.
Polymer Engineering & Science, 1995.
https://www.researchgate.net/publication/229904621_Microstructure_deformation_and_fracture_behavior_of_commercial_ABS_resins - Seelig T., Van der Giessen E.
Effects of microstructure on crack tip fields and fracture toughness in PC/ABS polymer blends.
https://www.researchgate.net/publication/30494524_Effects_of_microstructure_on_crack_tip_fields_and_fracture_toughness_in_PCABS_polymer_blends - MDPI Polymers
Review article on ABS plastics.
https://www.mdpi.com/2073-4360/14/10/2105 - Alveo3D – Solutions de filtration pour impression 3D
https://www.alveo3d.com/en/shop/ - Omnexus – SpecialChem
Selection Guide: Acrylonitrile Butadiene Styrene (ABS) Plastic – Key Applications
https://omnexus.specialchem.com/selection-guide/acrylonitrile-butadiene-styrene-abs-plastic/key-applications - Francofil
Fabrication Additive : Les polymères utilisés en FDM (Fused Deposion Modeling)
Formation interne réalisée en 2022 à la demande de NextMove.


